找回密码
 立即注册
搜索
查看: 1568|回复: 0

[美陈小品] 特效和技术其实是很昂贵的。

[复制链接]

908

主题

48

回帖

3980

积分

管理员

积分
3980

最佳新人

发表于 2019-1-4 14:37:06 | 显示全部楼层 |阅读模式
为什么很多电影特效公司即便得奖后,也依然会面临破产?
转载自网络的一篇博客 作者应该是张心欣,CFD in CG, R&D at Pixar, WetaDigital.
在转载之前,我希望看过本篇文章的人请尊重版权和特效工作者以及录制教程和传授你知识的人。
也许你看过本篇文章会想到更多。我希望你们以回帖的形式讨论一下。无论什么。也算发挥了这帖子的作用。


转载开始
本来是实在不想回答这个问题的, 可是排名第一的答案实在过于片面, 过于过时, 以及过于不符合美国这里特效公司与电影科技产业的现状, 我就来说几句.
我本人是北美图形学顶尖研究院的博士生, 研究的领域是应用数学与计算流体力学, 研究的目的是为最前沿的生成电影特效和动画的计算机程序提供解决方案. 工业界的经历包括了皮克斯研发, 微软游戏工作室研发以及即将要去的Weta Digital研发(指环王系列, 钢铁侠, 超人, 丁丁历险记...etc)
所以亲眼目睹, 亲身经历以及与人交流所了解到的北美顶尖特效公司的生态, 让我有话要说.
首先我要说, 特效是一门很昂贵的东西, 为了解释它有多么昂贵, 请允许我从计算机如何生成特效说起:
计算机特效首先是一个科技, 然后再是一个艺术, 人们肉眼所见到的影片中的每一个特效镜头, 都是来自于科学家编写的程序对自然的重现:
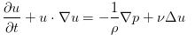
比如 烟雾, 爆炸, 水流, 他们是来自于解决物理学的Navier-Stokes 方程

gsd20190104143335.jpg
sdfsdf20190104143105.jpg

5_3_e2dc501e0d441f3.jpg



图1 : 解N-S方程的一些典型场景.
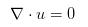
像N-S这样的方程, 不存在解析解, 于是人们只能用数值数学来求解, 而这就是50多年前冯诺依曼和NASA搞出计算机的目的, 他们为了计算原子弹爆炸产生的蘑菇云的形状, 航空飞机的机翼该如何设计才能产生出托力, 轮船的船身该如何设计才能跑得更快这种问题的答案而研究出了计算机, 后来在80年代末90年代初期这群科学家有一部分把自己的工作和代码运用到了电影技术中, 就让计算机生成可靠的基于物理的现象成为了可能, 在电影视觉效果中, 我们要的不仅仅是物体的运动的速度数据, 我们除了知道烟雾粉尘的位置信息外, 我们还需要极具真实感地把东西绘制出来, 这包括了解决一个复杂的光照公式:

5_3_0ed377010fb499d.jpg


用图片来说明, 就是一个你摄像机看到的点的辐射度(颜色), 由这一点是否被遮挡, 加上半球积分它受到的其它点的见解光照和自身的BRDF系数影响:

5_3_01637d43b7f66d2.jpg

图2 : 光照公式的示意图--一个点
受光照的影响包括了来自于光源的直接
光照和来自于被光源照亮的物体的见解光照以及它自己本身的材质.

为了表现真实的物理材质, 不同的物体表面的BRDF函数是不同的:
5_3_35549f874415756.jpg
有了所有的这些理论, 我们离用计算机生成出可靠的图像还有多远?
简单的答案是, 这些理论早在17xx年就已经被物理学家们写在纸上了, 而我们直到199x年才真正靠计算机生成出了可靠的肉眼难辨的图像:

5_3_fedcc5493538e55.jpg

那么有了这些技术, 我们离把它们应用到电影中以假乱真又有多远呢?
一个简单的答案是这些技术早在198x-199x年就已经在大学的实验室里被教授和博士们实现出来了, 皮克斯的创始人Ed Catmull就是一个物理学家, 他编写的Catmull-Clark细分程序改变了计算机所能绘制的几何图形的历史. 而这些技术真正应用到电影中却要在200x年甚至201x年

这中间的十几年的过程到底是什么呢?
技术的软件工程化, 工作室的技术资本的原始积累, 以及技术的不断升级换代,
先来谈技术的软件工程化, 首先, 在大学实验室里写出来的代码是极其糟糕的, 解决的问题很有针对性, 不考虑重用性, 写代码时能省就省, 就这样的一个纯是为了把解数学方程的算法变成代码的过程, 通常都需要消耗一年, 而这种程序, 特效公司是不能直接拿来用的. 真正能使用这种技术, 需要有一个懂这些数学和物理的软件工程师团队, 来把这些来自于实验室的代码转化为可使用的软件, 以及加上外壳--包括了UI, 文档, 说明等....
再来就是技术资本的积累, 能做得长的公司, 很早就开始了自己的技术资本积累或者有自己独到的技术 , 比如皮克斯, 创始人Ed Catmull 就是写出了RenderMan 软件的科学家, RenderMan是能够将提交给计算机的几何描述渲染成照片集真实图像的计算机程序. 工业光魔, 卢卡斯早就在Ed Catmull还是工业光魔员工的时候买下了Renderman的使用权, 并且后来请到了奥斯卡科学奖获得者Ron Fedkiw(这人本身是个航空力学科学家, 斯坦福教授, 对图形学的建树是作为流体计算程序的先行者和创新者使得流体模拟在电影中成为了可能并不断优化) 工业光魔一直与他合作, 拥有他所写的流体模拟软件PhysBam的使用权, Disney, 以巨大的财力在全球顶尖的科研院所养着六个数学科学院, 并买下了皮克斯, 工业光魔. Weta Digital, 彼得杰克逊为了做指环王而成立, 镇山之宝是一个Crowd simulation软件, 专门用于模拟数万人和复杂场景的运动, 我们在指环王中所看到的数万人同时运动的大规模场景, 里头只有几千人是真人, 其它的全是电脑生成的数字人, 早就以假乱真, 可怜中国还在用群众演员......而这种crowd simulation技术, 更早的时候就被disney在动画片花木兰中使用, 以及卡梅隆在泰坦尼克号沉船那一幕模拟甲板上掉入水中的人, 还有比如黑客帝国中的史密斯探员. 诸如此类的公司还有很多很多, 比如梦工厂有OpenVDB, scanlineVFX(2012代表作)有flowline.....etc.

技术的不断升级换代 : 在制作电影中要面临的挑战是不断增加的, 西方人追求更好, 更真实, 更美的目的和决心不是中国电影人可以理解的, 可以这样说, 你看到的电影中从人物的骨骼运动, 动作生成, 肌肉形变的计算, 皮肤随着肌肉的变化, 面部的表情, 人物的运动, 布料随着人物运动的运动, 无一不是数学科学的发展和计算机计算的结果:



再比如迪斯尼为了实现今年获奖的大片, Frozen中的雪的模拟, 就特别请了UCLA的计算物理团队开发了Material Point Method计算程序



说了这么多, 为了证明特效是十分昂贵的, 我只需要再加上一句话:
特效公司为了制作出最好的特效来满足导演日益膨胀的对真实感的要求, 需要养上这样一个 包括顶尖的科学家, 工程师, 程序员, 每个特效工作室100人左右的团队, 这笔支出还不包括更昂贵的顾问, 特邀科学家等等等等........
当然, 这还不包括需要养活200名能使用这些软件来创造出令人惊叹的艺术的艺术家, 他们的收入甚至不比这些科学家低, 因为这么优秀的人, 世界上确实就那么些, 所以配得起这样的价格.

说了这些, 特效工作室如何赚钱呢?
首先, 有自己的软件的靠卖软件给别的公司使用来赚钱, 这些软件的授权使用费是不菲的, 侵权必究, 中国的特效公司, 大都停留在购买别人的软件使用这个level上.
能卖软件给别人使用的, 大都是有过技术积累的公司, 因为电影周期大大短语软件开发周期, 一个技术在一本电影里用得合适, 不一定在下一本电影里仍然合适, 所以后发的公司, 很多时候是写完一个技术, 接了新的单子, 还来不及给老技术软件工程化, 就得丢了写新程序解决新问题, 这样一个周期, 使他们陷入了周而复始的人力物力财力的支出中去而无法建树出什么稳定的收入来源, 只能靠一单一单的接单子来养活, 于是乎, 承受打击的能力就很弱, 一旦财物出现问题, 就要嗝屁了....而这样的后发公司, 最大的收入来源反而是接广告, 因为广告客户没那么多要求, 而奔着奥斯卡奖去的导演, 一个镜头重做好几遍是常事, 也不会因此多给你钱.
在一个, 作为现代电影的魔术师的特效公司, 在影片最后的收成中是不参与分成的, 也就是说, 一单收多少钱是出品人的前期预算, 我电影赚多少钱, 你不参与分成. 这就直接导致了这种影片叫好叫座, 而幕后功臣却周转不过来倒闭的情况的发生.

关注galaxixv,官方微信公众号。
GALAXIX UE4 讨论学习群 140439020
UE4精英学习群  12762592
UNITY学习群   194092348
您需要登录后才可以回帖 登录 | 立即注册

本版积分规则

好用的魔法上网机场推荐

 

QQ|Archiver|手机版|小黑屋|GALAXIX

GMT+8, 2025-12-15 08:32 , Processed in 0.082129 second(s), 24 queries .

Powered by GALAXIX X3.5

© 2001-2025 GALAXIX.

快速回复 返回顶部 返回列表